Просмотры:24563 Автор:Pедактор сайта Время публикации: 2025-09-16 Происхождение:Работает
В индустрии высокоэффективных покрытий полиаспарагиновое покрытие , также известное как полиаспарагиновая полимочевина , стало технологией, меняющей правила игры. Эти системы обычно состоят из двух компонентов (А и Б). Хотя существуют однокомпонентные версии, промышленным золотым стандартом остается двухкомпонентная система, обеспечивающая максимальную долговечность.

В этой системе компонент A представляет собой полиаспарагиновую смолу (химически известный как полиаспарагиновый эфир ), а компонент B представляет собой изоцианатный отверждающий агент..
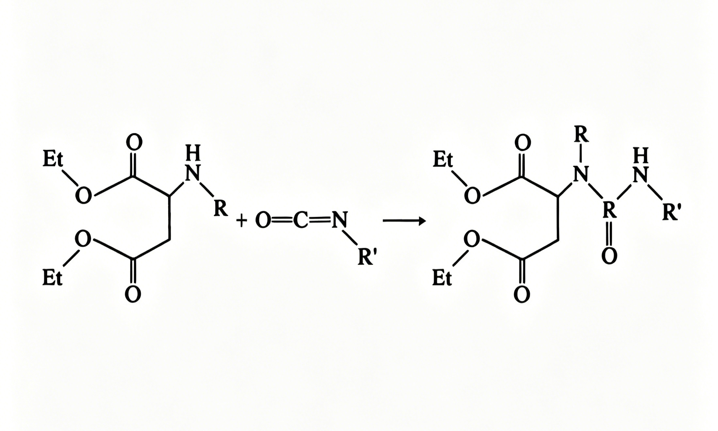
Полиаспарагиновая смола действует как удлинитель цепи вторичного алифатического амина. Его синтезируют посредством реакции присоединения Михаэля между диалкилмалеатом и первичным алифатическим диамином. Этот процесс превращает первичные амины во вторичные амины.
Реакционная способность вторичных аминов значительно ниже, чем у первичных аминов. В молекуле полиаспарагинового эфира две вторичные аминогруппы защищены «короноподобной» средой, создающей стерические затруднения и эффекты электронной индукции.
Эти факторы резко снижают скорость реакции между полиаспарагиновой смолой и группами -NCO в изоцианатном компоненте. Эта контролируемая реакция является секретом обеспечения приемлемой «жизнеспособности», позволяющей наносить вручную кистью или валиком — подвиг, невозможный при использовании традиционной быстросхватывающейся распыляемой полимочевины.

Синтез полиаспарагинового эфира путем добавления Михаэля
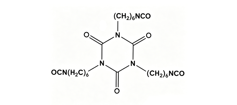
Для достижения высоких результатов в полиаспарагиновых системах используются отвердители, такие как HDI Trimers , IPDI или преполимеры HMDI . Серия HDI Trimer особенно ценится за свою алифатическую природу и стабильную изоциануратную кольцевую структуру, предлагая:
Исключительная стойкость к атмосферным воздействиям и ультрафиолетовому излучению: отвержденная пленка обеспечивает длительную стойкость к пожелтению и сохраняет высокий блеск даже при сильном солнечном излучении.
Превосходный физический барьер: обеспечивает превосходную стойкость к химикатам и растворителям, эффективно защищая подложки от агрессивных промышленных сред.
Эстетическое качество: благодаря высокой прозрачности и низкой цветности тримеры HDI являются идеальным основным компонентом для изготовления прозрачных и глянцевых верхних покрытий.

Химическая структура тримера HDI
При оценке покрытия для проекта важно сравнить технические показатели полиаспарагинового покрытия с традиционными решениями :
| Особенность | Полиаспарагиновая полимочевина (полиаспарагиновое покрытие) | Промышленный полиуретан (ПУ) | Спрей Полимочевина (Стандарт) |
| Содержание твердых веществ | 70–100 % (сверхнизкое содержание летучих органических соединений) | 45–70 % (высокое содержание летучих органических соединений) | 100% (Ноль ЛОС) |
| Отверждение / Жизнеспособность | Регулируется: от 30 минут до 2 часов жизнеспособности; быстрое лечение. | Медленный; жизнеспособность > 4 часов; время отверждения > 24 часов. | Мгновенно: застывает менее чем за 30 секунд; требуется высокопроизводительная техника. |
| Адгезия | Отлично: прямая связь с металлом (DTM); Сталь >12 МПа. | Умеренный; для большинства поверхностей требуется специальная грунтовка. | Переменная; склонен к расслоению, если основание не подготовлено идеально. |
| Устойчивость к ультрафиолетовому излучению | Экстрим: QUV-A 4000h+ (не желтеет, цвет стабильный). | Умеренный; тускнеет/мелится через 1000–1500 часов. | Плохие: большинство из них ароматные; желтые и мелки в течение нескольких недель. |
| Повышение эффективности | Плотный: 150–500 мкм в 1 слой; готов к использованию через 4-6 часов. | Низкий размер: 50–100 мкм; требуется несколько слоев/дней. | Высокое телосложение: 1 мм+; но поверхность часто имеет текстуру «апельсиновой корки». |
| Механический край | Твердость поверхности (2H) и устойчивость к истиранию. | Гибкий, но склонен к царапинам. | Удлинение и прочность на разрыв; но более низкая твердость. |
Не желтеет: долговечная устойчивость к ультрафиолетовому излучению при воздействии на открытом воздухе.
Нечувствительность к влаге: Может наноситься во влажной среде без образования пузырей.
Стабильность цвета: Превосходное удержание пигмента с течением времени.
Быстрое отверждение: Значительно сокращает строительные циклы.
Применение при низких температурах: сохраняет эффективность отверждения в холодном климате.
Высокая адгезия: высокая прочность сцепления обеспечивает целостность системы.
Экологичность: слабый запах и низкое содержание летучих органических соединений для использования внутри помещений и в общественных местах.
Комплексная защита: водонепроницаемость, влагостойкость и защита от плесени.
Бесшовная поверхность: устраняет гигиенические мертвые зоны, в которых скапливается грязь.
Простота обслуживания: поверхность легко чистить стандартными средствами.
Керамическая отделка: глянцевая эстетика и ощущение премиум-класса.
Чрезвычайная прочность: высокое удлинение для адаптации к деформации подложки.
Несмотря на превосходные характеристики, технические покупатели должны учитывать:
Более высокая первоначальная стоимость: благодаря высококачественному алифатическому сырью цена за единицу продукции выше, чем у стандартной эпоксидной смолы или полиуретана. Однако анализ затрат жизненного цикла (LCCA) часто оказывается ниже из-за сокращения времени простоя и технического обслуживания.
Требуется профессиональное применение: более высокая скорость отверждения по сравнению с эпоксидной смолой требует наличия квалифицированной бригады для обеспечения правильного смешивания и выравнивания.

Будь то гидроизоляция наружных стен, защита мостов или промышленные полы, полиаспарагиновая технология предлагает профиль производительности «все в одном».
Если вас интересуют химические свойства или конкретные области применения нашей полиаспарагиновой смолы , посетите наш специальный сайт rqbpolyaspartic.com..
Наша техническая команда Ruqinba Group готова помочь с оптимизацией рецептуры и руководством по строительству.
Мы также предлагаем бесплатные образцы для тестирования производительности.
ПОДПИСКА НА РАССЫЛКУ