Просмотры:3245 Автор:Рукинба Время публикации: 2025-09-26 Происхождение:Работает
Несоверные поверхностно -активные вещества относятся к поверхностно -активным веществам, которые не ионизируются в водном растворе. Их гидрофильные группы в основном состоят из кислородсодержащих групп (обычно эфирные и гидроксильные группы). Липофильная часть молекулы получена из более высоких жировых спиртов, алкилфенолов, жирных кислот, жирных аминов и масла, в то время как растворимость воды поступает из групп полиоксиэтиленовых эфиров и терминальных гидроксильных групп в молекуле.
Поскольку неионные поверхностно -активные вещества не ионизируются в воде, они демонстрируют несколько преимуществ по сравнению с ионными поверхностно -активными веществами. Например, они имеют хорошую растворимость как в воде, так и в органических растворителях, демонстрируют высокую стабильность в растворе и менее влияют на сильные электролиты, неорганические соли, кислоты и основания. Они также очень совместимы с другими типами поверхностно-активных веществ, что делает их подходящими для смешивания и формулировки.
Большинство неионовых поверхностно -активных веществ существуют в форме жидкости или пасты, и их растворимость в воде уменьшается с повышением температуры. Они обладают широким спектром функциональных свойств, в том числе превосходные моющие средства, дисперсию, эмульгирование, пени, смачивание, солюбилизацию, антистатические характеристики, выравнивание, ингибирование коррозии, стерилизация и защитные коллоидные эффекты. В результате они широко используются в текстиле, изготовлении бумаг, пищевых продуктах, пластмассах, кожах, мехе, стекле, нефтью, химических волокнах, фармацевтических препаратах, пестицидах, покрытиях, красителях, удобрениях, пленках, фотографии, металлообработке, минеральной обработке, строительных материалах, защите окружающей среды, косметике, огненной поверхности, в сельском хозяйстве и многих других областях.
Это полиэфирные соединения, полученные путем конденсации этиленоксида этилена с длинноцепочечными жирными спиртами, алкилфенолами или более высокими эфирами полиол-жирных кислот.
Репрезентативное сырье:
Жировые полиоксиэтилентные эфиры с жирным спиртом
Алкилфенол полиоксиэтиленовые эфиры
Эфирные эфирные эфиры полиолсииэтилена
Метиловые эфиры жирных кислот
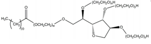
Жировые полиоксиэтиленовые эфиры (AEO), также известные как полиоксиэтиленовые жировые алкогольные эфиры, являются самым быстрорастущим и наиболее широко используемым типом неионовых поверхностно-активных веществ. Этот класс поверхностно -активных веществ образуется конденсацией полиэтиленгликоля (ПЭГ) с жирными спиртами и может быть представлен общей формулой:
Ro (ch ₂ ch ₂ o) ₙ h
где n - степень полимеризации. Существуют разные разновидности в зависимости от степени полимеризации ПЭГ и типа используемого жирового спирта.
Коммерчески они продаются под торговыми наименованиями, такими как Brij . Например, Brij 30 и другие продукты Brij получают путем конденсации различного количества единиц этиленоксида с лауриловым спиртом, и они обычно используются в качестве эмульгаторов типа O/W.
Пример:
CETARETH-10 (имя INCI)
Псевдоним: AEO-10
Химическое название: Цетоариловый спирт полиоксиэтилен эфир-10
Внешний вид: белый восковой твердый
Растворимость: нерастворим в воде
Значение HLB: 12.9
Структурная формула: n = 10

Также известный как TX или OP , алкилфенол полиоксиэтиленовый эфир -n демонстрирует хорошую растворимость воды, когда N больше 8. Алкилфенол полиоксиэтиленовые эфиры (APEOS) являются важным классом полиоксиэтиленовых поверхностно-активных веществ. Они характеризуются стабильными свойствами, устойчивостью к кислотам и щелочкам и относительно низкой стоимостью.
APEOS широко используется в производстве высокоэффективных моющих средств и долгое время является одним из наиболее часто используемых сырья для текстильных вспомогательных. Они часто добавляются в моющие средства, брелочные агенты, вращающиеся масла, смягчающие агенты, масла для переработки шерсти и средства для чистки металлов.
Пример:
Ноноксинол-10 (имя INCI)
Псевдонимы: TX-10, нонилфенол полиоксиэтилен (10) эфир
Внешний вид: прозрачная жидкость
Свойства: отличное смачивание, эмульгирование, диспергирование, солюбилирование, пенообразование, дефорирование и моющие средства
Значение HLB: 13.3
Структурная формула:

Типичным представителем этой категории являются сложные эфиры полиоксиэтилена сорбитана (TWEEN) , также известный как полисорбаты . Это конденсационные продукты сорбитана (SPAN) и этиленоксида. Из -за присутствия множественных гидрофильных полиоксиэтиленовых групп в молекуле эти поверхностно -активные вещества обладают сильной гидрофильностью. Общие типы включают T-20, T-21, T-40, T-60, T-61, T-65, T-80, T-81 и T-85.
Пример:
Polysorbate 20 (имя INCI)
Псевдонимы: Т-20, Твин 20, полиоксиэтилен (20) Сорбитан Монолаврат
Внешний вид: от светло -желтой до желтой вязкой жидкости при комнатной температуре
Запах: легкий характерный запах
Растворимость: растворим в воде, этаноле, метаноле и этилацетате; нерастворимый в минеральном масле и нефтяном эфире
Функции: эмульгатор, диспергатор, солюбилизатор
Структурная формула:

Этиксилаты метиловых эфиров жирных кислот (FME) продуцируются путем реакции метиловых эфиров жирных кислот с этиленоксидом в каталитических условиях. По сравнению с полиоксиэтиленовыми эфирами жирных кислот, группа сложных эфиров в FMEE более стабильна, особенно демонстрирующая значительно улучшенную устойчивость к кислотам и щелочкам.
Сырье, метиловое эфир жирных кислот, сам по себе является типом среднего агента. После оксилирования FMEE сохраняет низкие характеристики, предлагая повышенную производительность. FMEE в основном используется в качестве моющего среднего моющего , включающего:
Низкая пена
Высокая облачная точка
Отличная уборка
Выдающиеся рассеивающие свойства
Его сильная рассеиваемость особенно важна в промышленных приложениях. С постоянной тенденцией к меньшим соотношениям ванны в операциях по обработке, FMEE эффективно предотвращает грязь в рабочем растворе от агломерации в комки и избегает повторного отложения на оборудование или обработанные материалы.
Структурная формула:

Основные компоненты могут быть представлены как rcon (ch ₂ ch ₂ OH) ₂ . Они стабильны как в кислых, так и в щелочных условиях, с сильными смачивающими и эмульгирующими свойствами. При включении в мыло они могут повысить способность пенообразования, упуска и устойчивость к жесткой воде. Алканоламиды продуцируются конденсацией жирных кислот с моноэтаноламином (MEA) или диетаноламином (DEA). Их гидрофильные группы являются амидными и гидроксильными группами, в то время как гидрофобная группа-длинноцепочечная алкил. В качестве типа неионового поверхностно -активного вещества они могут функционировать как моющие средства, смачивающие агенты и эмульгаторы.
В косметике их основное использование включает в себя выявление агентов и стабилизаторов пены..
Пример:
Кокамид DEA (имя инцита
Псевдонимы: кокосовая жирная кислота диетаноламид, 6501, кокамид диетаноламин
Внешний вид: бесцветная вязкая жидкость
Растворимость: растворим в воде
Свойства: отличное пенообразование, стабилизация пены и антистатические эффекты
Согласно технической спецификации косметической безопасности (издание 2015 года) в Китае, кокамид DEA является ограниченным веществом с конкретными требованиями к качеству:
Он не должен использоваться вместе с нитрозирующими системами, чтобы избежать образования нитрозамина.
Максимальное содержание вторичного амина в продуктах: 0,5%
Максимальное содержание нитрозамина в продуктах: 50 мкг/кг
Максимальное содержание вторичного амина в сырье: 5%
Должен храниться в контейнерах без нитритов.
Структурная формула: (1: 1 тип алкиламид DEA, где r - лауриновая кислота)

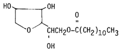
Эфиры полиол жирных кислот получают путем этерификации полиолов жирными кислотами. Гидрофобная часть поступает из длинной углеродной цепи жирной кислоты, в то время как гидрофильная часть поступает из неэтерифицированных гидроксильных групп. Эта категория включает в себя сложные эфиры глицериновых жирных кислот и сложные эфиры сорбитана.
Эфиры глицерина жирных кислот образуются в результате реакции глицерина с жирными кислотами. Типы, которые действуют как поверхностно -активные вещества, в основном являются моноэфирами и диестами , которые в основном используются в качестве эмульгаторов. Как правило, можно использовать смесь моноэфиров и диеров, но продукты с примерно 90% моноэфирным содержанием также могут быть получены посредством дистилляции и переработки.
Используемые жирные кислоты включают стеариновую кислоту, пальмитиновую кислоту, миристическую кислоту, олеиновую кислоту и линолевую кислоту. В большинстве случаев используются смешанные жирные кислоты со стеариновой кислотой в качестве основного компонента.
Пример:
Glyceryl Stearate (имя INCI)
Псевдонимы: глицерил моностеарат, глицерил стеариновая кислота эфир
Внешний вид: белые хлопья
Растворимость: нерастворим в воде
Функции: используется в основном в качестве эмульгатора, совместного эмульгатора и эмоличи
Структурная формула:

Также известные как сложные , эфиры жирных кислот сорбитана или эфиры ангидросорбитол жирных кислот , эти соединения продуцируются этерификацией сорбитана (дегидратированный сорбит) с различными жирными кислотами. Серия SPAN демонстрирует очень низкую растворимость в воде и, следовательно, классифицируется как липофильные поверхностно -активные вещества.
В составах они часто используются в сочетании с поверхностно -активными веществами Tween (Polysorbate). Серия SPAN включает S-20, S-40, S-60, S-65, S-80 и S-85. Они доступны в широком спектре коммерческих сортов, с хорошо известными производственными процессами. Эти материалы демонстрируют эмульгирующие свойства и совместимость с другими типами поверхностно -активных веществ.
Пролеты широко применяются в продовольственной, фармацевтической, косметической и текстильной промышленности , в основном как растворимые в масле, жидкие или восковые соединения. Они особенно подходят в качестве эмульгаторов воды в масле (без).
Пример:
Sorbitan Laurate (имя INCI)
Псевдонимы: S-20, SPAN 20, монолаур-сорбитан, Anhydrosorbitol Monolaurate
Функции: без эмульгатора, стабилизатор, диспергатор
Структурная формула:
Я,

II 、

III 、

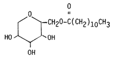
Эфиры сахарозы относятся к эфирам жирных кислот сахарозы. Сахароза (C₁₂H₂₂O₁₁) является продуктом конденсации одной молекулы глюкозы и одной молекулы фруктозы. Поскольку сахароза содержит несколько свободных гидроксильных групп, она имеет хорошую растворимость воды и может подвергаться этерификации с более высокими жирными кислотами.
Эфиры сахарозы легко биоразлагаемые, поглощаются человеческим организмом, нетоксичным и не обтягивающим в кожу . Из -за этих свойств они широко используются в качестве эмульгаторов и добавок в продуктах и косметике. Они также могут служить ингредиентами в моющих средствах с низким содержанием подпрыгивания .
Структурная формула:

Оксиды алкиламина легко растворимы в воде и полярных органических растворителях. Они классифицируются как слабые катионные амфотерные поверхностно -активные вещества : в водном растворе они ведут себя как катионные в кислых условиях и как неионовые в щелочных условиях.
Они обладают превосходным утолщением, антистатическим, смягчением, пенообразованием, стабилизированием пены и мощными свойствами . Кроме того, они демонстрируют бактерицидную активность, способность рассеивания мыла кальцие и хорошую биоразлагаемость , что делает их экологически чистыми поверхностно -активными веществами, широко используемыми в домашних хозяйствах и средствах личной гигиены.
В косметических составах оксиды алкиламина также могут служить в качестве сгущающихся агентов и стабилизаторов пены.
Пример:
Оксид ларамина (имя INCI)
Псевдонимы: оксид додецидаметиламина, кондиционер OB-2, OA-12
Внешний вид: бесцветный до бледно -желтой прозрачной жидкости
Растворимость: растворим в воде
N-алкилпирролидоны демонстрируют свойства, сходные с оксидами алкиламина. Структурно они классифицируются как неионические поверхностно -активные вещества , но в кислых средах молекула подвергается протонации, генерируя катионную группу и, таким образом, демонстрируя слабое катионное поведение.
Они используются в продуктах ухода за волосами в качестве сгущающихся агентов, стабилизаторов пены и кондиционирующих средств , а также могут функционировать как солюбилизаторы для ароматов и других компонентов.
Пример:
Лаурил Пирролидон (Имя ИНКИ)
Псевдонимы: n-лаурилпирролидон
Содержание пуста!
ПОДПИСКА НА РАССЫЛКУ